![]() |
ESTADO DA PARAÍBA |
EDUCAÇÃO
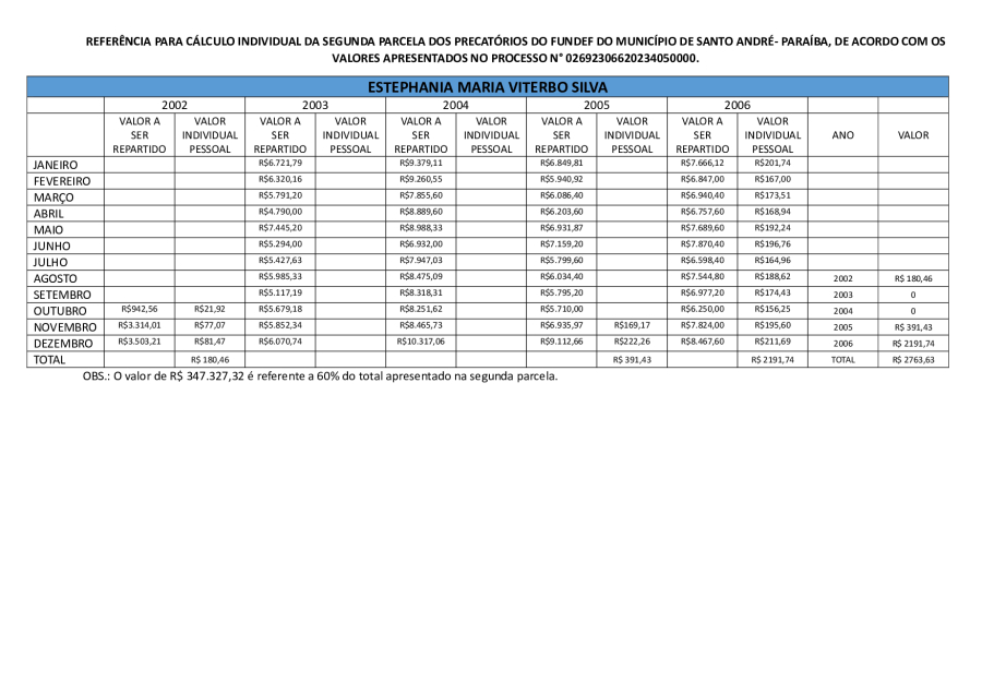
RESULTADO PRELIMINAR DA SEGUNDA PARCELA DOS PRECATÓRIOS DE SANTO ANDRÉ/PB.
























































Publicada por:
JONAS MACIEL DA SILVA
Data Publicação: 07/10/2025 - Data Circulação: 08/10/2025
Código da Matéria:
20251007032434
Edição: ORDINÁRIA
Conforme MP n° 2.200-2 de 24/08/2001, que institui a infraestrutura de chaves Públicas. Matéria Publicada no Diário Oficial do Município de Santo André/PB no dia - Edição 01315.

