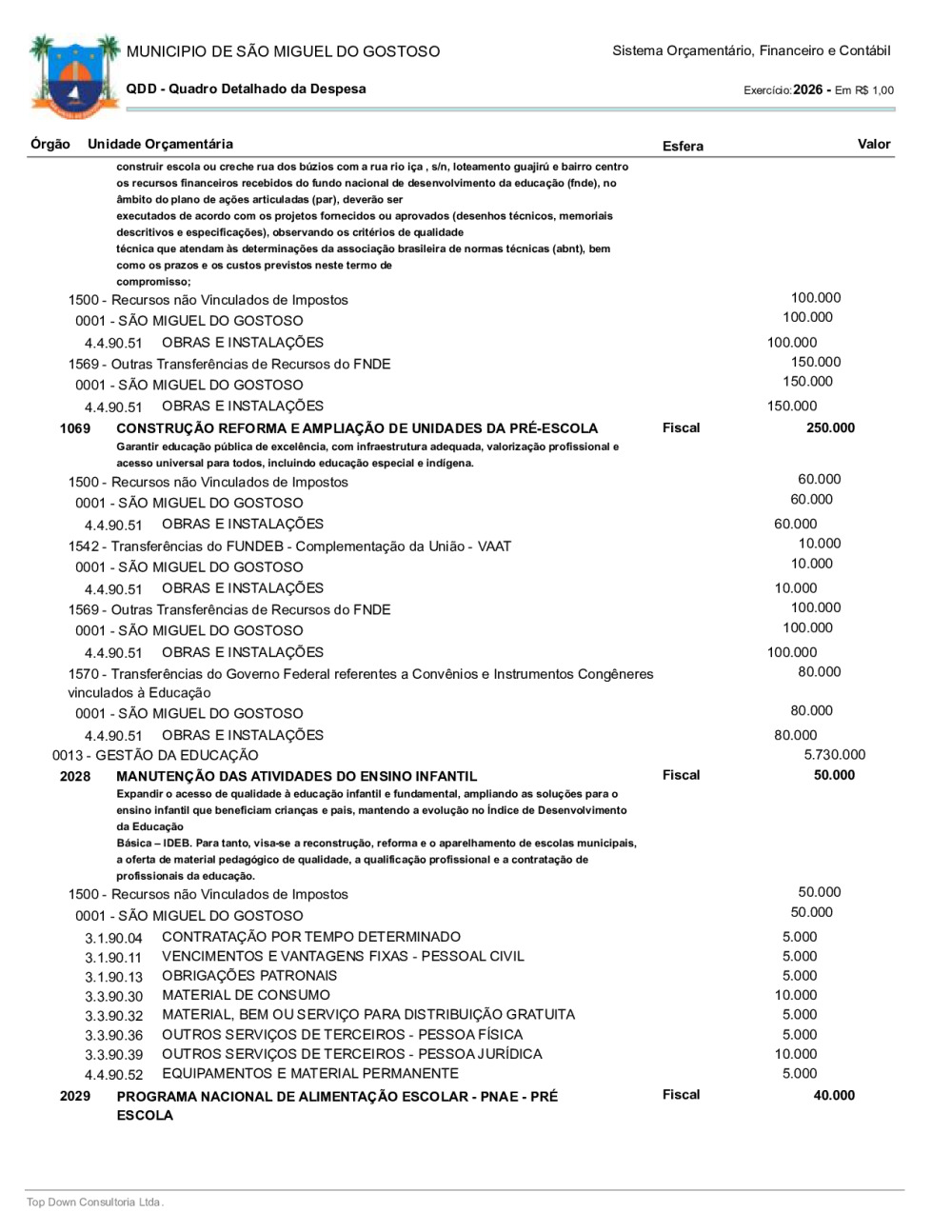
GABINETE DO PREFEITO

DECRETO Nº 382/2026 - QDD

















































































































































































































































































































































































































































































































































































































































































































































































































































Publicada por:
RUBENS EDUARDO SANTA RITA DE OLIVEIRA
Data Publicação: 08/01/2026 - Data Circulação: 08/01/2026
Código da Matéria: 20260108123113
Edição: EXTRAORDINÁRIA


Conforme MP n° 2.200-2 de 24/08/2001, que institui a infraestrutura de chaves Públicas. Matéria Publicada no Diário Oficial do Município de São Miguel do Gostoso/RN no dia - Edição 01239.